FUNDAMENTALNAYA I PRIKLADNAYA MATEMATIKA

(FUNDAMENTAL AND APPLIED MATHEMATICS)

2002, VOLUME 8, NUMBER 1, PAGES 141-150

On lower bound of the norm of integral convolution operator

E. D. Nursultanov
K. S. Saidahmetov

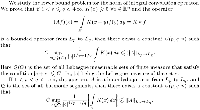
Abstract

View as HTML     View as gif image    View as LaTeX source

Gif image of the abstract

All articles are published in Russian.

Main page Contents of the journal News Search

Location: http://mech.math.msu.su/~fpm/eng/k02/k021/k02112g.htm
Last modified: July 5, 2002