Eduardo Colorado
Abstract:
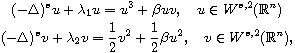
We show the existence of ground state solutions to the following stationary
system coming from some coupled fractional dispersive equations such as:
nonlinear fractional Schrodinger (NLFS) equations (for dimension n=1,2,3)
or NLFS and fractional Korteweg-de Vries equations (for n=1),

where
,
j=1,2,
,
n=1,2,3, and
n/4 < s < 1. Precisely, we prove the existence of a positive radially
symmetric ground state for any
.
Published September 15, 2018.
Math Subject Classifications: 49J40, 35Q55, 35Q53, 35B38, 35J50.
Key Words: Nonlinear Fractional Schrodinger equation; variational method;
fractional Korteweg-de Vries equation; critical point theory;
ground state
Show me the PDF file (305 K), TEX and other files for this article.
![]() |
Eduardo Colorado Departamento de Matemáticas Universidad Carlos III de Madrid Avda. Universidad 30, 28911 Leganés Madrid, Spain email: eduardo.colorado@uc3m.es, eduardo.colorado@icmat.es |
|---|
Return to the table of contents
for this conference.
Return to the EJDE web page